본 게시글은 유튜브 : 경제 TV 너무경 : 너무 쉬운 경제 윤성종 님의 유튜브 영상을 참고하였습니다. 개인적으로 정리하는 글임을 알립니다.
채권의 개념을 잘 모르신다면 아래의 링크를 눌러주세요
2022.12.13 - [경제/금융용어] - 금융용어정리 - 채권(액면가, 액면 이자율, 채권 가격, 채권 이자율)
금융용어정리 - 채권(액면가, 액면 이자율, 채권 가격, 채권 이자율)
본 게시글은 유튜브 : 경제 TV 너무경 : 너무 쉬운 경제 윤성종 님의 유튜브 영상을 참고하였습니다. 개인적으로 정리하는 글임을 알립니다. 금융용어정리 - 채권(액면가, 액면 이자율, 채권 가격,
rebugs.tistory.com
금융용어정리 - 채권의 현재가치
채권의 현재가치
A채권의 액면가는 100억, 액면이자율은 10%, 만기 2년이고, 시장 이자율은 10%라고 하자
현재 가치를 계산할 수 있는 수식은 아래와 같다.

하지만 채권의 현재가치를 판단할 때는 분모에 들어가는 이자율에 액면 이자율이 아닌 시장 이자율을 넣어야 한다.

위 수식에 의해서 만기 시점(2년뒤)에서 현재가치(2년 전 (현재))를 구해보면
만기 시점 가치 = 1년 전 이자 + 올해 이자 + 원금이므로

채권의 액면 이자율과 시장 이자율이 동일하므로 채권의 액면가인 100억이 계산되는 것을 볼 수 있다.
이를 간단하게 나타내면 아래와 같다.

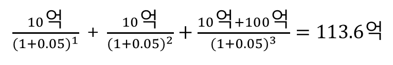
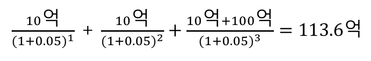
만약 만기가 3년이라고 하면 아래와 같다.

수식을 보면 분자의 이자는 액면이자이기 때문에 분자는 변할 수 없고, 분모의 이자율은 시장 이자율이기 때문에 분모는 변할 수 있다.
분모(시장 이자율)가 커지면 P(채권의 가격)는 작아진다.
분모가 작아지면 P는 커진다.
따라서 시장 이자율이 커지면 채권의 가격은 작아지고, 시장 이자율이 작아지면 채권의 가격은 올라간다.
반대로 어떠한 이유 때문에 채권의 가격이 높아지면 위 수식에 의해 시장 이자율은 낮아진다.
예를 다시 들어보면
시장 이자율이 5%로 낮아졌고, 만기는 3년이라고 하자

계산을 해보면 위와 같은 결과가 나왔다.
이를 통해 알 수 있는 것 : 시장 이자율과 채권의 가격은 반비례 관계에 있다.
'금융 & 경제' 카테고리의 다른 글
| 금융용어정리 - 요구 수익률, 기대 수익률 (1) | 2022.12.25 |
|---|---|
| 금융용어정리 - 현재 가치와 투자 결정 (1) | 2022.12.24 |
| 금융용어정리 - 채권(액면가, 액면 이자율, 채권 가격, 채권 이자율) (1) | 2022.12.13 |
| 금융용어정리 - 현재 가치(할증, 할인, 할증률, 할인율, 수익률) (0) | 2022.12.12 |
| 금융용어정리 - 단리, 복리, 70의 법칙, catch-up (0) | 2022.12.11 |