이 글은 데이터베이스 개론 (저자 김연희)의 내용을 개인적으로 정리하는 글임을 알립니다.
정규화의 개념과 이상 현상
정규화(Normalization)의 개념
데이터베이스를 잘못 설계하면 불필요한 데이터 중복이 발생하여 릴레이션에 대한 데이터 삽입, 수정, 삭제 연산을 수행할 때 부작용이 발생할 수 있다.
이러한 현상을 이상(anomaly) 현상이라 한다.
이상 현상을 제거하면서 데이터베이스를 올바르게 설계해나가는 과정이 정규화다.
정규화는 데이터베이스를 설계 결과물을 검증하기 위해 사용하기도 한다.
이상 현상의 종류
이상 현상에는 갱신 이상(Modification Anomaly), 삽입 이상(Insertion Anomaly), 삭제 이상(Deletion Anomaly)이 있다.


위 릴레이션은 고객들이 이벤트에 참여한 결과를 저장하고 있는 릴레이션이다.
고객은 여러 이벤트에 참여할 수 있으므로 고객 아이디만으로는 튜플을 유일하게 식별할 수 없다.
따라서 고객아이디와 이벤트번호 속성을 함께 사용하여 이벤트참여 릴레이션의 기본키를 구성한다.
삽입 이상
릴레이션에 새 데이터를 삽입하기 위해 원치 않는 불필요한 데이터도 함께 삽입해야 하는 문제를 삽입 이상이라 한다.

이 릴레이션에 새로운 고객 데이터를 삽입한다고 하면, '성원용' 고객은 참여한 이벤트가 없으므로 삽입할 수 없다.
이벤트참여 릴레이션의 기본키가 고객아이디와 이벤트 번호 속성이고, 기본키를 구성하는 속성은 널 값을 가질 수 없다는 제약이 존재하기 때문이다.
따라서 성원용 고객에 대한 데이터를 이벤트 참여 릴레이션에 삽입하려면 실제로 참여하지 않은 임시 이벤트번호를 삽입해야 하므로 이벤트 참여 릴레이션에는 삽입 이상이 발생하게 된다.
갱신 이상
릴레이션의 중복된 튜플들 중 일부만 수정하여 데이터가 불일치하게 되는 모순이 발생하는 것을 갱신 이상이라 한다.

위 이벤트참여 릴레이션에는 아이디가 apple인 고객에 대한 튜플이 3개 존재하여, 고객아이디, 고객이름, 등급 속성의 값이 중복되어 있다.
아이디가 apple인 고객의 등급이 gold에서 vip로 변경된다면, 이벤트 참여 릴레이션에서 apple 고객에 대한 튜플 3개의 등급 속성 값이 모두 수정되어야 한다.
그렇지 않고 위와 같이 2개의 튜플만 등급이 수정된다면 모순이 생겨 갱신 이상이 발생하게 된다.
삭제 이상
릴레이션에서 튜플을 삭제하면 꼭 필요한 데이터까지 함께 삭제하여 데이터가 손실되는 연쇄 삭제 현상을 삭제 이상이라 한다.

아이디가 orange인 고객이 이벤트 참여를 취소하여 이벤트참여 릴레이션에서 관련된 튜플을 삭제해야 한다면, 위 그림같이 하나의 튜플을 삭제하면 된다.
하지만 이 튜플은 해당 고객에 대한 정보인 고객아이디, 고객이름, 등급에 대한 정보도 유일하게 가지고 있다.
따라서 이 튜플이 삭제되면 이벤트 참여와 관련이 없음에도 불구하고 해당 고객에 대한 중요한 데이터도 삭제되는 삭제 이상이 발생한다.
정규화의 필요성
위 이벤트참여 릴레이션과 같은 여러 이상 현상이 발생하는 이유는 관련 없는 속성들을 하나의 릴레이션에 모아두고 있기 때문이다.
이상 현상이 발생하지 않도록 하려면, 관련 있는 속성들로만 릴레이션을 구성해야 한다.
이를 위해 필요한 것이 정규화다.
정규화는 이상 현상이 발생하지 않도록, 릴레이션을 관련이 있는 속성들로만 구성하기 위해 릴레이션을 분해하는 과정이다.
정규화 과정에서 고려해야 하는 속성들 간의 관련성을 함수적 종속성(Functional Dependency)이라고 한다.
함수 종속(FD : Functional Dependency)

하나의 릴레이션을 구성하는 속성들의 부분 집합을 X와 Y라 할 때, 어느 시점에서든 릴레이션 내의 모든 튜플에서 X 값에 대한 Y 값이 항상 하나면 "X가 Y를 함수적으로 결정한다" 또는 "Y가 X에 함수적으로 종속되어 있다"라고 한다.
이 경우, X를 결정자, Y를 종속자라고 한다.

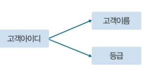
이 고객 릴레이션에서 각 고객아이디 속성 값에 대응되는 고객이름 속성과 등급 속성의 값이 단 하나이므로, 고객아이디가 고객이름과 등급을 결정한다고 볼 수 있다.
그러므로 고객 릴레이션에서 고객이름과 등급 속성은 고객아이디 속성에 함수적으로 종속되어 있어, 고객아이디는 결정자가 되고 고객 이름과 등급은 종속자가 된다.


함수 종속관계를 판단할 때 유의할 점은, 현재 시점에 릴레이션에 포함된 속성 값만으로 판단하면 안 된다는 것이다.
릴레이션에서 속성 값은 계속 변할 수 있기 때문에 속성 자체가 가지고 있는 특성과 의미를 기반으로 판단해야 한다.
고객 릴레이션에 현재 저장되어 있는 속성 값이 아닌 속성 자체의 특성을 고려하여 함수 종속관계를 판단해야 한다.
고객 릴레이션에서 고객아이디는 고객을 구별해주는 기본키 속성이기 때문에 아이디가 같은 서로 다른 고객이 존재할 수 없다.
그러므로 고객아이디가 정해지면 오직 하나의 고객이름과 등급이 결정된다.
일반적으로 튜플을 유일하게 구별하는 기본키와 후보키는 그 특성 때문에 릴레이션을 구성하는 다른 모든 속성들을 함수적으로 결정한다.
하지만 이러한 특성으로 인해 함수 종속관계 X →Y에서 기본키나 후보키만 결정자인 X가 될 수 있는 것은 아니다.
기본키나 후보키가 아니더라도 속성 값을 유일하게 결정하는 속성 X는 함수 종속관계에서 모두 결정자가 될 수 있다.
물론 릴레이션 내의 여러 튜플에서 속성 X 값이 같으면 이 값과 연관된 속성 Y 값도 모두 같아야 결정자로 인정받을 수 있다.

위의 이벤트참여 릴레이션에서는 고객아이디가 고객이름을 유일하게 결정한다.
고객아이디가 같으면 모든 튜플에서 고객이름이 반드시 같은 값을 가지기 때문이다.
그러므로 고객이름은 고객아이디에 종속되어 있어, 고객아이디가 결정자가 되고 고객이름이 종속자가 된다.
그리고 기본키인 [고객아이디, 이벤트번호] 속성 집합은 당첨여부 속성을 유일하게 결정한다.
아이디가 apple인 고객이 참여한 E001 이벤트의 당첨여부는 Y만 존재하기 때문이다. 그러므로 당첨여부는 [고객아이디, 이벤트번호]에 종속되어 있어, [고객아이디, 이벤트번호]가 결정자가 되고 당첨여부가 종속자가 된다.
물론 당첨여부뿐 아니라 고객이름도 기본키인[고객아이디, 이벤트번호]에 종속되어 있다.

이런 경우, 고객이름 속성이 [고객아이디, 이벤트번호] 속성 집합에 부분 함수 종속되었다고 한다.
반면 당첨여부 속성은 [고객아이디, 이벤트번호] 속성 집합에 완전 함수 종속되었다고 한다.
- 완전 함수 종속 : 릴레이션에서 속성 집합 Y가 속성 집합 X에 함수적으로 종속되어 있지만, 속성 집합 X 전체에 종속된 것인지 일부분에 종속된 것이 아님을 의미한다.
- 부분 함수 종속 : 속성 집합 Y가 속성 집합 X의 전체가 아닌 일부분에도 함수적으로 종속됨을 의미하며, 부분 함수 종속 관계가 성립하려면 결정자가 여러 개의 속성들로 구성되어 있어야 한다.
일반적으로 함수 종속이라고 하면 완전 함수 종속을 의미한다.

릴레이션에 존재하는 함수 종속 관계에서는 결정자와 종속자가 같거나, 결정자가 종속자를 포함하는 것처럼 당연한 함수 종속 관계는 고려하지 않는다.
기본 정규형과 정규화 과정
정규화의 개념과 정규형의 종류
- 정규화 : 함수 종속성을 이용하여 릴레이션을 연관성이 있는 속성들로만 구성되도록 분해해서, 이상 현상이 발생하지 않는 올바른 릴레이션으로 만들어나가는 과정
정규화의 기본 목표는 관련이 없는 함수 종속성을 별개의 릴레이션으로 표현하는 것이다.
- 정규형 : 릴레이션이 정규화된 정도를 표현한 것
정규형은 크게 기본 정규형 과 고급 정규형으로 나뉜다.
- 기본 정규형 : 제1정규형, 제2정규형, 제3정규형, 보이스/코드 정규형
- 고급 정규형 : 제4정규형, 제5정규형

각 정규형마다 만족시켜야 하는 제약조건이 존재한다.
릴레이션이 특정 정규형의 제약조건을 만족하면 릴레이션이 해당 정규형에 속한다고 표현한다.
정규형의 차수가 높아질수록 요구되는 제약조건이 많아지고 엄격해진다.
일반적으로 차수가 높은 정규형에 속하는 릴레이션일수록 데이터 중복이 줄어 데이터 중복에 의한 이상 현상이 발생하지 않는 바람직한 릴레이션일 수 있다.
하지만 모든 릴레이션이 제5정규형에 속해야 되는 것은 아니므로 릴레이션의 특성을 고려해서 적합한 정규형을 선택해야 한다.
제 1정규형(1NF)
제 1정규형
릴레이션에 속한 모든 속성의 도메인이 원자 값으로만 구성되어 있으면 제 1정규형에 속한다.

릴레이션이 제 1정규형에 속하려면 릴레이션에 속한 모든 속성이 더는 분해되지 않는 원자 값만 가져야 한다.
위 릴레이션에서 이벤트번호와 당첨여부 속성은 원자 값을 가지지 않는다.
즉, 다중 값을 가지는 속성을 포함하기 때문에 제 1정규형 제약조건을 만족시키지 못하므로 제 1정규형에 속하지 않는다.
관계 데이터베이스 릴레이션은 모든 속성이 원자 값을 가지는 특성이 있기 때문에 최소한 제1 정규형을 만족해야 관계 데이터베이스의 릴레이션이 될 자격이 있다고 말할 수 있다.
아래의 릴레이션은 이벤트번호와 당첨여부 속성은 원자 값을 갖도록 수정한 릴레이션이다.

수정한 릴레이션은 제 1정규형에 속하지만 불필요한 데이터 중복으로 인해 이상 현상이 발생할 수 있다.


이벤트 참여 릴레이션에는 등급과 할인율 속성의 값이 중복되어 나타나는 경우가 많다.
이처럼 불필요한 데이터가 중복되면 이상 현상이 발생할 수 있다.
이벤트참여 릴레이션은 부분 함수 종속을 포함하고 있기 때문이 이상 현상이 발생한다.
즉, 기본키인 [고객아이디, 이벤트번호]에 완전 함수 종속되지 못하고 일부분인 고객아이디에 종속되는 등급과 할인율 속성 때문이다.
따라서 부분 함수 종속이 제거되도록 이벤트참여 릴레이션을 분해해야 한다.
릴레이션을 분해하여 부분 함수 종속을 제거하면, 분해된 릴레이션들은 제2 정규형에 속하게 된다.
제 2정규형(2NF)
제 2정규형
릴레이션이 제 1정규형에 속하고, 기본키가 아닌 모든 속성이 기본키에 완전 함수 종속되면 제 2정규형에 속한다.

위와 같이 2개의 릴레이션으로 분해하면, 분해된 고객 릴레이션과 이벤트참여 릴레이션은 모두 제2정규형에 속하게 된다.
릴레이션이 둘로 분해되면서 등급과 할인율 속성에 대한 데이터 중복이 줄어듦을 확인할 수 있다.

위의 함수 종속 다이어그램에서 확인할 수 있듯이, 릴레이션 분해 과정을 통해 고객 릴레이션에는 기본키인 고객아이디와 기본키에 완전 함수 종속된 등급·할인율 속성만 존재한다. 그러므로 고객 릴레이션은 제2정규형에 속한다.
이벤트참여 릴레이션에도 기본키인 [고객아이디, 이벤트번호]와 기본키에 완전 함수 종속된 당첨여부 속성만 존재한다.
그러므로 이벤트참여 릴레이션도 제2정규형에 속한다.
정규화 과정에서 릴레이션을 분해할 때 주의할 점은, 분해된 릴레이션들을 자연 조인하여 분해 전의 릴레이션으로 다시 복원할 수 있어야 한다는 것이다.
즉, 릴레이션이 의미상 동등한 릴레이션들로 분해되어야 하고, 릴레이션을 분해했을 때 정보 손실이 발생하지 않아야 한다.
정보의 손실 없이 릴레이션을 분해하는 것을 무손실 분해라고 한다.
제 2정규형에 속하더라도 릴레이션에 이상 현상이 발생할 수 있다.

위 이벤트참여 릴레이션은 함수 종속성을 단 하나만 포함하므로 이상 현상이 발생하지 않는다.
하지만 고객 릴레이션은 부분 함수 종속성은 없지만 함수 종속성을 아직도 여러 개 포함하고 있어 이상 현상이 발생할 수 있다.
릴레이션을 분해하여 이행적 함수 종속을 제거하면, 분해된 릴레이션들은 제 3정규형에 속하게 된다.
제 3정규형(3NF)
제 3정규형
릴레이션이 제 2정규형에 속하고, 기본키가 아닌 모든 속성이 기본키에 이행적 함수 종속이 되지 않으면 제 3정규형에 속한다.
이행적 함수 종속이란 X→Y, Y→Z의 함수 종속 관계를 가지는 상황에서 X→Z가 성립하게 되는 상황을 의미한다.

제2정규형을 만족하더라도 하나의 릴레이션에 함수 종속 관계가 여러개 있고 그중에서도 이행적 함수 종속 관계를 가지게 되면 이상 현상이 발생할 수 있다.
따라서 이행적 함수 종속이 발생하지 않도록 릴레이션을 분해해야 한다.


보이스/코드 정규형(BCNF : Boyce/Codd Nomal Form)
보이스/코드 정규형(BCNF)
릴레이션의 함수 종속 관계에서 모든 결정자가 후보키이면 보이스/코드 정규형에 속한다.
제3정규형까지 마치고 나면 하나의 릴레이션에 여러개의 후보키가 존재할 수도 있는데, 이 경우에은 제3정규형까지 모두 만족하더라도 이상 현상이 발생할 수 있다.
따라서 후보키가 여러개 있을때 발생할 수 있는 이상 현상을 방지하기 위해 보이스/코드 정규형을 하게 된다.따라서 제3정규형의 릴레이션에서 기본키가 유일한 후보키이며 함수 종속 관계어서도 유일한 결정자가 되도록 릴레이션을 분해한다.
제4정규형과 제5정규형
고급 정규형으로 분류되는 제4정규형은 릴레이션이 보이스/코드 정규형을 만족하면서, 함수종속이 아닌 다치 종속을 제거해야 만족할 수 있다.
그리고 제5정규형은 릴레이션이 제4정규형을 만족하면서 후보키를 통하지 않는 조인 종속을 제거해야 만족할 수 있다.
다만 오히려 제5정규형까지 만족할 때까지 분해할 경우 비효율적일 때가 많다.
정규화 과정 정리
릴레이션을 분해하여 모든 속성의 도메인이 원자 값으로만 구성되도록 하면 제1정규형이 된다.
제1정규형에 속하는 릴레이션에서 부분 함수 종속을 제 거하여 기본키가 아닌 모든 속성이 기본키에 완전 함수 종속되면 제2정규형이 된다.
제2정규 형 릴레이션에서 이행적 함수 종속을 제거하면 제3정규형이 된다.
제3정규형 릴레이션에서 후보키가 아닌 결정자를 제거하면 보이스/코드 정규형이 된다.

'데이터베이스 > 데이터베이스 이론' 카테고리의 다른 글
| [Database] 트랜잭션 락(Lock) (2) | 2024.02.28 |
|---|---|
| [Database] 트랜잭션 ACID, DB 연결구조와 세션 (0) | 2024.02.27 |
| [DB 이론] 데이터베이스 설계 (1) | 2023.12.09 |
| [DB 이론] 관계 데이터 모델 (1) | 2023.12.08 |
| [DB 이론] 데이터베이스 모델링 (3) | 2023.12.07 |