[운영체제] 교착 상태(Deadlock)의 개념컴퓨터 구조 & 운영체제/운영체제2023. 7. 4. 00:11
Table of Contents
이 글은 혼자 공부하는 컴퓨터 구조 + 운영체제 (저자 : 강민철)의 책과 유튜브 영상을 참고하여 개인적으로 정리하는 글임을 알립니다.
교착 상태(Deadlock)
교착 상태의 정의 : 일어나지 않을 사건을 기다리며 진행이 멈춰 버리는 현상
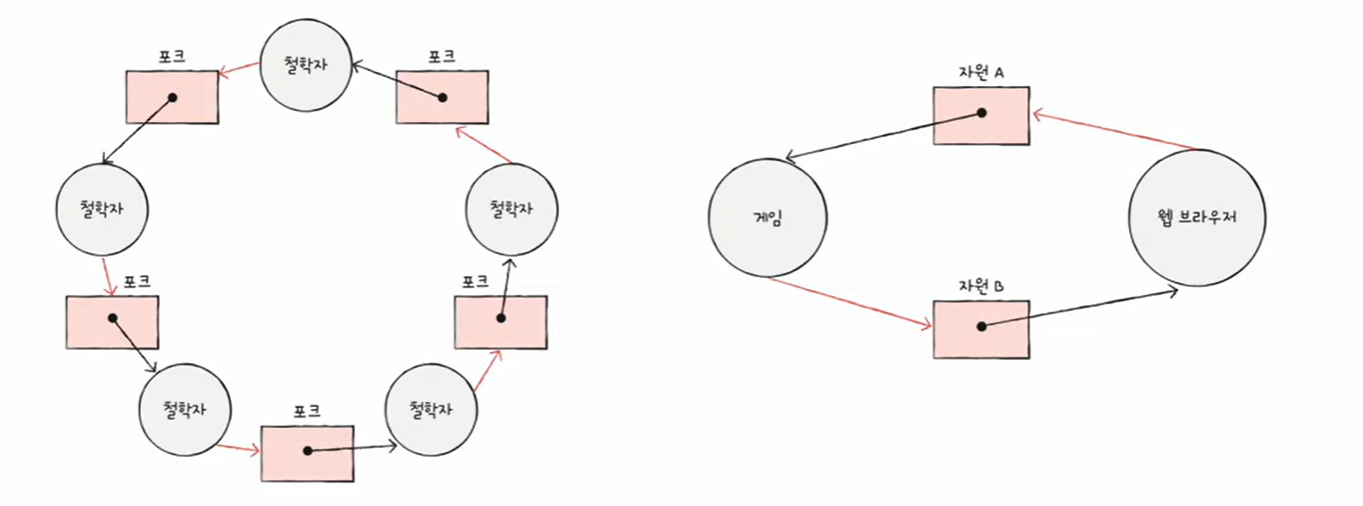
아래는 모두 프로세스를 예로 들었지만 스레드에서도 똑같이 적용된다.
예를 들어, 아래와 같은 상황을 교착 상태라고 말할 수 있다.
- 게임 프로세스는 자원 A를 점유한 채 웹 브라우저 프로세스가 점유하고 있는 자원 B의 사용을 기다림
- 웹 브라우저 프로세스는 자원 B를 점유한 채 게임 프로세스의 자원 A 사용이 끝나길 기다림

또 다른 교착상태의 예를 들면 식사하는 철학자 문제가 있다.

식사하는 철학자 문제에서 한두 명의 철학자가 식사를 할 때는 문제가 되지 않지만, 모든 철학자가 동시에 포크를 집어 식사를 하면 어떤 철학자도 식사를 할 수 없다.(교착 상태)
자원 할당 그래프(resource-allocation graph)
교착 상태는 자원 할당 그래프를 통해 단순하게 표현할 수 있다.
자원 할당 그래프는 어떤 프로세스가 어떤 자원을 사용하고 있고, 또 어떤 프로세스가 어떤 자원을 기다리고 있는 지를 표현하는 간단한 그래프이다.
자원 할당 그래프는 아래와 같은 규칙으로 그려진다.
- 프로세스는 원으로, 자원의 종류는 사각형으로 표현
- 사용할 수 있는 자원의 개수는 자원 사각형 내에 점으로 표현
- 프로세스가 어떤 자원을 할당받아 사용 중이라면 자원 프로세스를 향해 화살표를 표시
- 프로세스가 어떤 자원을 기다리고 있다면 프로세스에서 자원으로 화살표를 표시
자원할당 그래프 예제
- SSD자원은 세 개, CPU 자원은 두 개, 프린터는 하나
- 프로세스 A는 SSD를 할당받아 사용 중, 프로세스 B와 C는 CPU를 할당받아 사용 중, 프로세스 D는 프린터를 사용 중
- 프로세스 E는 프린터 자원을, 프로세스 F는 CPU 자원의 할당을 기다리는 중

교착 상태 발생 조건
교착 상태가 발생할 조건에는 아래와 같이 네 가지가 있다.
아래의 조건 중 하나라도 만족하지 않는다면 교착 상태가 발생하지 않지만, 아래 조건이 모두 만족될 때 교착 상태가 발생할 가능성이 생긴다.
- 상호 배제(mutual exclusion) : 한 프로세스가 사용하는 자원을 다른 프로세스가 사용할 수 없는 상태
- 점유와 대기(hold and wait) : 자원을 할당받은 상태에서 다른 자원을 할당받기를 기다리는 상태
- 비선점(nonpreemptive) : 어떤 프로세스도 다른 프로세스의 자원을 강제로 빼앗지 못하는 상태
- 원형 대기(circular wait) : 자원 할당 그래프를 그렸을 때, 프로세스들이 원의 형태로 자원을 대기하는 상태
위에서 교착 상태 예제로 들었던 상태들을 자원 할당 그래프로 나타내면 아래와 같다.
'컴퓨터 구조 & 운영체제 > 운영체제' 카테고리의 다른 글
| [운영체제] 연속 메모리 할당 (1) | 2023.07.06 |
|---|---|
| [운영체제] 교착 상태(Deadlock) 해결 방법 (0) | 2023.07.05 |
| [운영체제] 프로세스와 스레드의 동기화 기법(뮤텍스 락, 세마포, 모니터) (0) | 2023.07.03 |
| [운영체제] 프로세스와 스레드의 동기화 개념 (0) | 2023.07.02 |
| [운영체제] CPU 스케줄링 알고리즘 (0) | 2023.07.01 |
