[C++] 백준 8단계 - 2903번 문제 (중앙 이동 알고리즘)자료구조 & 알고리즘/BOJ2023. 4. 24. 00:01
Table of Contents
문제설명


소스코드
#include <iostream>
#include <math.h>
using namespace std;
int main()
{
int N; int arr[16] = { 0 };
arr[0] = 0; int dot = 0;
cin >> N;
for (int i = 1; i <= N; ++i)
{
arr[i] = arr[i - 1] + pow(2, i-1);
dot = arr[i] + 2;
}
cout << dot * dot;
}
풀이
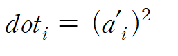
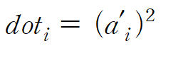
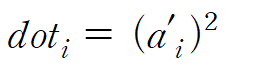
- 위 문제는 2² -> 3² -> 5² -> 9²...로 증가하는 수열이다.
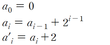
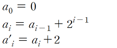
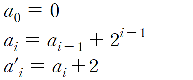
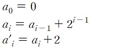
- 밑인 2, 3, 5, 9...의 수열(a')의 규칙은 아래와 같다.

- 따라서 밑수를 제곱한 값이 정답이 된다.



'자료구조 & 알고리즘 > BOJ' 카테고리의 다른 글
| [C++] 백준 8단계 - 2292번 문제 (벌집) (0) | 2023.04.25 |
|---|---|
| [C++] 백준 11718번 문제 (그대로 출력하기) (0) | 2023.04.25 |
| [C++] 백준 8단계 - 2720번 문제 (세탁소 사장 동혁) (0) | 2023.04.23 |
| [C++] 백준 8단계 - 11005번 문제 (진법 변환 2) (0) | 2023.04.23 |
| [C++] 백준 8단계 - 2745번 문제 (진법 변환) (0) | 2023.04.22 |